RLumCarlo

The R package RLumCarlo provides a collection of R functions modelling luminescence production in isolators and semiconductors for various stimulation modes using Monte Carlo methods.

Project Status: Concept CRAN DOI CRAN DOI Downloads R-CMD-check Coverage Status

Installation

i. Requirements

Depending on your OS please download and install one of the following:

ii. Install the package from GitHub

if(!require("devtools"))
  install.packages("devtools")
devtools::install_github("R-Lum/RLumCarlo@master")

Examples

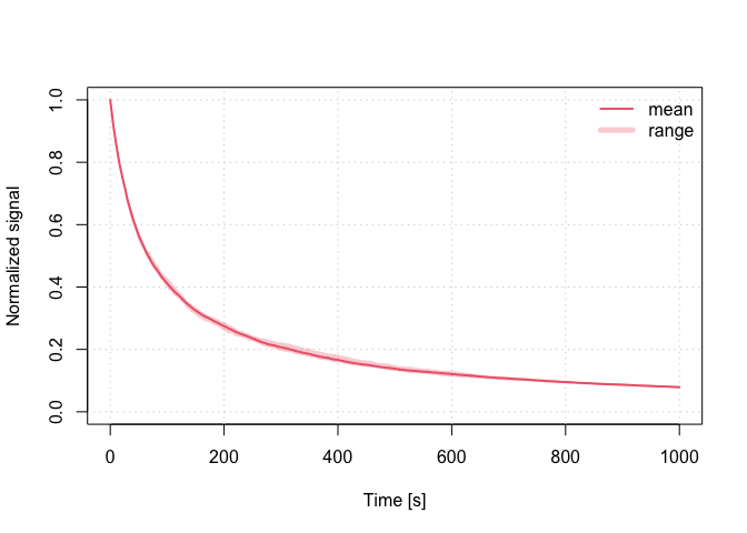
run_MC_CW_IRSL_TUN(A = 0.12, rho = 0.003, times = 0:1000) %>%
     plot_RLumCarlo(norm = TRUE, legend = TRUE)

Supported models

TRANSITION BASE MODEL IRSL OSL LM-OSL TL
Delocalised OTOR FALSE TRUE TRUE TRUE
Localised GOT TRUE FALSE TRUE TRUE
Excited state tunnelling LTM TRUE FALSE TRUE TRUE

License

This program is free software: you can redistribute it and/or modify it under the terms of the GNU General Public License as published by the Free Software Foundation, either version 3 of the License, or any later version.

This program is distributed in the hope that it will be useful, but WITHOUT ANY WARRANTY; without even the implied warranty of MERCHANTABILITY or FITNESS FOR A PARTICULAR PURPOSE. See the GNU General Public License for more details.

Funding

The development of RLumCarlo benefited from the support by various funding bodies: