fluxible fluxible website

R-CMD-check CRAN status LifeCycle Codecov test coverage cranlogs

The fluxible R package is made to transform any dataset of gas concentration over time measured with closed loop chamber systems into a gas flux dataset. Thanks to its flexibility, it works for all kinds of field setup (manual or automated chambers, tents, soil respiration chambers, …) and data collection strategies (separated files for each measurement vs continuous logging, variable vs constant chamber volume, variable vs constant measurement length, …). It is organized as a toolbox with one function per steps, which offers a lot of freedom and backwards compatibility for ongoing projects. If environmental data were recorded simultaneously (photosynthetically active radiation, soil temperature, …), they can also be processed (mean, sum or median), with the same focus window as the flux estimate.

The goal of fluxible is to provide a workflow that removes individual evaluation of each flux, reduces risk of bias, and makes it reproducible. Users set specific data quality standards and selection parameters as function arguments that are applied to the entire dataset. fluxible offers different methods to estimate fluxes: linear, quadratic, exponential (Zhao et al., 2018), and the original HM model (Hutchinson and Mosier, 1981; Pedersen et al., 2010). The kappamax method (Hüppi et al., 2018) is also included, at the quality control step. The package runs the calculations automatically, without prompting the user to take decisions mid-way, and provides quality flags and plots at the end of the process for a visual check.

This makes it easy to use with large flux datasets and to integrate into a reproducible and automated data processing pipeline such as the targets R package (Landau, 2021). Using the fluxible R package makes the workflow reproducible, increases compatibility across studies, and is more time efficient.

For a visual overview of the package, see the poster.

Installation

fluxible can be installed from CRAN.

install.packages("fluxible")

You can install the development version of fluxible from the GitHub repo with:

# install.packages("devtools")
devtools::install_github("plant-functional-trait-course/fluxible")

Short example

library(fluxible)

conc_df <- flux_match(
  co2_df_short,
  record_short,
  datetime,
  start,
  measurement_length = 220
)

slopes_df <- flux_fitting(
  conc_df,
  conc,
  datetime,
  fit_type = "exp_zhao18",
  end_cut = 60
)
#> Cutting measurements...
#> Estimating starting parameters for optimization...
#> Optimizing fitting parameters...
#> Calculating fits and slopes...
#> Done.

slopes_flag_df <- flux_quality(
  slopes_df,
  conc
)
#> 
#>  Total number of measurements: 6
#> 
#>  ok   6   100 %
#>  discard      0   0 %
#>  zero     0   0 %
#>  force_discard    0   0 %
#>  start_error      0   0 %
#>  no_data      0   0 %
#>  force_ok     0   0 %
#>  force_zero   0   0 %
#>  force_lm     0   0 %
#>  no_slope     0   0 %

flux_plot(
  slopes_flag_df,
  conc,
  datetime,
  f_ylim_lower = 390,
  f_ylim_upper = 650,
  facet_wrap_args = list(
    ncol = 3,
    nrow = 2,
    scales = "free"
  )
)
#> Plotting in progress
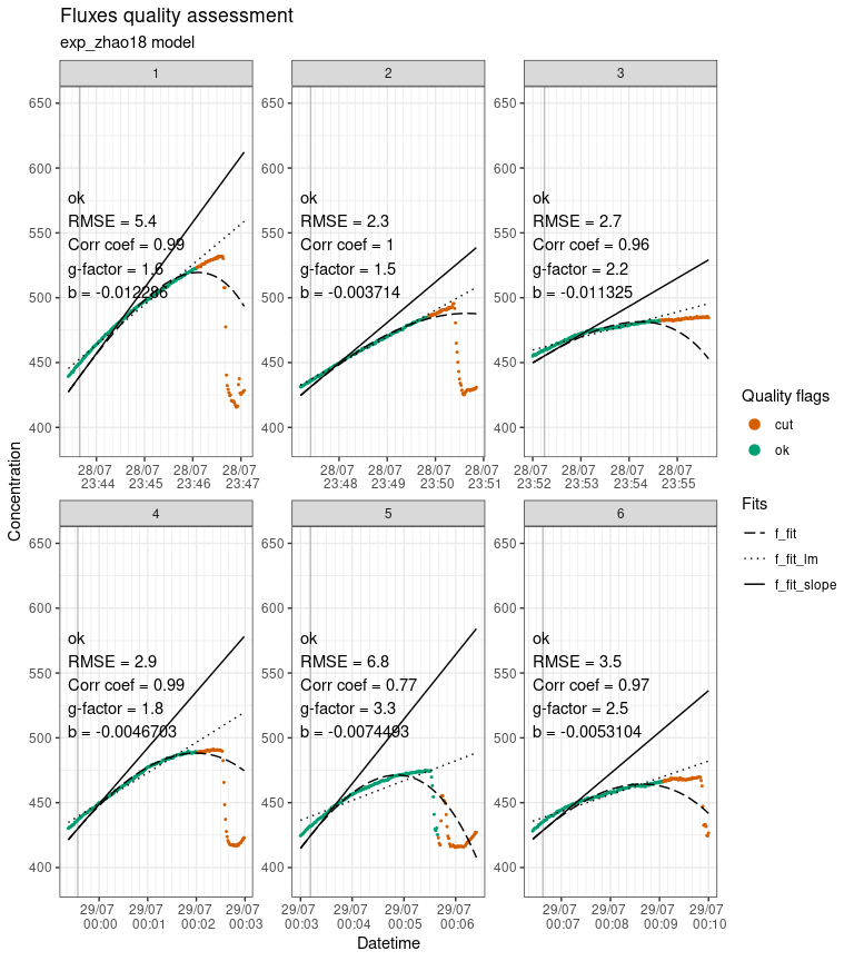
Output of flux_plot, showing fluxes plotted individually with diagnostics and quality flags.

Output of flux_plot, showing fluxes plotted individually with diagnostics and quality flags.


fluxes_df <- flux_calc(
  slopes_flag_df,
  f_slope_corr,
  datetime,
  temp_air,
  conc_unit = "ppm",
  flux_unit = "mmol/m2/h",
  cols_keep = c("turfID", "type"),
  cols_ave = c("temp_soil", "PAR"),
  setup_volume = 24.575,
  atm_pressure = 1,
  plot_area = 0.0625
)
#> Cutting data according to 'keep_arg'...
#> Averaging air temperature for each flux...
#> Creating a df with the columns from 'cols_keep' argument...
#> Creating a df with the columns from 'cols_ave' argument...
#> Calculating fluxes...
#> R constant set to 0.082057 L * atm * K^-1 * mol^-1
#> Concentration was measured in ppm
#> Fluxes are in mmol/m2/h

fluxes_gpp <- flux_gpp(
  fluxes_df,
  type,
  datetime,
  id_cols = "turfID",
  cols_keep = c("temp_soil_ave")
)
#> Warning in flux_gpp(fluxes_df, type, datetime, id_cols = "turfID", cols_keep = c("temp_soil_ave")): 
#>  NEE missing for measurement turfID: 156 AN2C 156

fluxes_gpp
#> # A tibble: 9 × 5
#>   datetime            type  f_flux temp_soil_ave turfID      
#>   <dttm>              <chr>  <dbl>         <dbl> <chr>       
#> 1 2022-07-28 23:43:25 ER     51.9           10.9 156 AN2C 156
#> 2 2022-07-28 23:47:12 GPP     9.72          10.7 74 WN2C 155 
#> 3 2022-07-28 23:47:12 NEE    32.0           10.7 74 WN2C 155 
#> 4 2022-07-28 23:52:00 ER     22.3           10.7 74 WN2C 155 
#> 5 2022-07-28 23:59:22 GPP    -6.63          10.8 109 AN3C 109
#> 6 2022-07-28 23:59:22 NEE    44.3           10.8 109 AN3C 109
#> 7 2022-07-29 00:03:00 ER     50.9           10.5 109 AN3C 109
#> 8 2022-07-29 00:06:25 GPP    NA             12.2 29 WN3C 106 
#> 9 2022-07-29 00:06:25 NEE    32.7           12.2 29 WN3C 106

Supporting infrastructure

licoread R package

The licoread R package, developed in collaboration with LI-COR, provides an easy way to import raw files from LI-COR gas analyzers as R objects that can be used directly with the fluxible R package.

Further developments

Segmentation tool

We are working on a tool to automatically select the window of the measurement on which to fit a model. This selection will be based on environmental variable, such as photosynthetically active radiation (PAR), or residuals.

Working in mol/volume

So far fluxible works in fractional concentration (e. g. ppm) and transforms it in mol when calculating the fluxes, using the average temperature of the measurement. This has the advantage to work even if the setup does not provide temperature for each gas concentration data point. Recent setups provide temperature at the same frequency as gas concentration, and this allows to transform the concentration in mol/volume earlier in the process, accounting better for temperature changes during the measurement. This will be implemented in a future version of fluxible.

Contact

Joseph Gaudard, University of Bergen, Norway

joseph.gaudard@pm.me

GitHub page

Dissemination

Gaudard J, Telford RJ, Chacon-Labella J, Dawson HR, Enquist BJ, Töpper JP, Trepel J, Vandvik V, Baumane M, Birkeli K, Holle MJM, Hupp JR, Santos-Andrade PE, Satriawan TW, Halbritter AH. “fluxible: An R package to process ecosystem gas fluxes from closed-loop chambers in an automated and reproducible way” (2025). Methods in Ecology and Evolution, doi:10.1111/2041-210X.70161.


Gaudard J, Telford RJ, Chacon-Labella J, Dawson HR, Enquist BJ, Töpper JP, Trepel J, Vandvik V, Baumane M, Birkeli K, Holle MJM, Hupp JR, Santos-Andrade PE, Satriawan TW, Halbritter AH. “fluxible: An R package to process ecosystem gas fluxes from closed-loop chambers in an automated and reproducible way”, Poster, 2025 AmeriFlux Annual Meeting, Tucson AZ, USA.

Gaudard J, Telford RJ, Chacon-Labella J, Dawson HR, Enquist BJ, Töpper JP, Trepel J, Vandvik V, Baumane M, Birkeli K, Holle MJM, Hupp JR, Santos-Andrade PE, Satriawan TW, Halbritter AH. “fluxible: An R package to process ecosystem gas fluxes from closed-loop chambers in an automated and reproducible way”, Poster, ITEX Meeting 2025, Göteborg, Sweden.

Gaudard J, Trepel J, Dawson HR, Enquist B, Halbritter AH, Mustri M, Niittynen P, Santos-Andrade PE, Töpper JP, Vandvik V, and Telford RJ. “fluxible: an R package to calculate ecosystem gas fluxes from closed loop chamber systems in a reproducible and automated workflow”, Oral presentation, EGU General Assembly 2025, Vienna, Austria, 27 Apr-2 May 2025, EGU25-12409, doi:10.5194/egusphere-egu25-12409.

Gaudard J, Dawson HR, Enquist B, Halbritter AH, Mustri M, Niittynen P, Santos-Andrade PE, Töpper JP, Trepel J, Vandvik V, and Telford RJ. “fluxible: an R package to calculate ecosystem gas fluxes from closed loop chamber systems in a reproducible and automated workflow”, Poster, LI-COR Connect 2025, Tucson AZ, USA, 24-27 Feb 2025.

Gaudard J, Telford R, Vandvik V, and Halbritter AH: “fluxible: an R package to calculate ecosystem gas fluxes in a reproducible and automated workflow”, Poster, EGU General Assembly 2024, Vienna, Austria, 14-19 Apr 2024, EGU24-956, doi:10.5194/egusphere-egu24-956.

Acknowledgements

fluxible builds on the earlier effort from the Plant Functional Traits Course Community co2fluxtent (Brummer et al., 2023).

References

Brummer, A.B., Enquist, B.J. and Santos-Andrade, P.E. (2023), Co2fluxtent: Tools for NEE and ET Fitting from CO2 Flux, Manual,.
Hüppi, R., Felber, R., Krauss, M., Six, J., Leifeld, J. and Fuß, R. (2018), “Restricting the nonlinearity parameter in soil greenhouse gas flux calculation for more reliable flux estimates”, PLOS ONE, Public Library of Science, Vol. 13 No. 7, p. e0200876.
Hutchinson, G.L. and Mosier, A.R. (1981), “Improved Soil Cover Method for Field Measurement of Nitrous Oxide Fluxes”, Soil Science Society of America Journal, Vol. 45 No. 2, pp. 311–316.
Landau, W.M. (2021), “The targets R package: A dynamic Make-like function-oriented pipeline toolkit for reproducibility and high-performance computing”, Journal of Open Source Software, Vol. 6 No. 57, p. 2959.
Pedersen, A.R., Petersen, S.O. and Schelde, K. (2010), “A comprehensive approach to soil-atmosphere trace-gas flux estimation with static chambers”, European Journal of Soil Science, Vol. 61 No. 6, pp. 888–902.
Zhao, P., Hammerle, A., Zeeman, M. and Wohlfahrt, G. (2018), “On the calculation of daytime CO2 fluxes measured by automated closed transparent chambers”, Agricultural and Forest Meteorology, Vol. 263, pp. 267–275.