spduration

R-CMD-check CRAN version Codecov test coverage

spduration implements a split-population duration model for duration data with time-varying covariates where a significant subset of the population or spells will not experience failure.

library("spduration")
## Registered S3 method overwritten by 'quantmod':
##   method            from
##   as.zoo.data.frame zoo
# Prepare data
data(coups)
dur.coups <- add_duration(coups, "succ.coup", unitID="gwcode", tID="year",
                          freq="year")

# Estimate model
model.coups <- spdur(duration ~ polity2, atrisk ~ polity2, data = dur.coups,
                     silent = TRUE)
summary(model.coups)
## Call:
## spdur(duration = duration ~ polity2, atrisk = atrisk ~ polity2, 
##     data = dur.coups, silent = TRUE)
## 
## Duration equation: 
##             Estimate Std. Error t value Pr(>|t|)    
## (Intercept)  4.00151    0.23762  16.840  < 2e-16 ***
## polity2      0.20588    0.03037   6.779 1.21e-11 ***
## 
## Risk equation: 
##             Estimate Std. Error t value Pr(>|t|)  
## (Intercept)   6.5279     3.2556   2.005   0.0449 *
## polity2       0.8967     0.4084   2.196   0.0281 *
## 
##            Estimate Std. Error t value Pr(>|t|)
## log(alpha) -0.03203    0.11899  -0.269    0.788
## ---
## Signif. codes: *** = 0.001, ** = 0.01, * = 0.05, . = 0.1
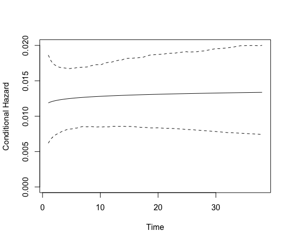
plot(model.coups, type = "hazard")

Plot of the conditional hazard rate over time for coups. It shows a relatively constant hazard of around 0.013, going almost 40 years on the x-axis. The plot includes confidence bands, which range from around 0.005 to 0.020, with slightly less uncertainty around 2-3 years out.

Install

install.packages("spduration")
library(devtools)
install_github("andybega/spduration")

Contact